大气遵循:牛顿第二定律(运动方程)、质量守恒定律(连续方程)、热力学能量守恒定律(热力学方程)、气体实验定律(状态方程)、水汽质量守恒定律(水汽方程)

σ坐标方程包括:静力学方程、水平运动方程、连续方程、垂直速度方程、热力学方程、状态方程(P32)

数值天气预报:在给定初始条件和边界条件的情况下,数值求解大气运动方程组,由已知的初始时刻的大气状态预报未来时刻的大气状态

数值天气预报的分类/大气数值模式可以分为哪几类?
file

什么是模式大气:在不失大气运动主要特征的前提下,需要将复杂的大气热力状态与运动状态方程理想化、简单化,这种简化后的大气模型称为模式大气。
大气模式:为了预报某种天气(如短期或中期预报),在一定的客观条件下,设计出的合适的描述模式大气的动力学和热力学方程组。

球坐标系:

  1. 适于描述大气运动
  2. 运动方程和连续方程复杂
  3. 全球大气模式常采用球坐标系

球坐标系方程组中的薄膜近似:由于地球大气的有效厚度远小于地球半径a,因此当y处于系数低位时,可用地球平均半径a代替y,当y处于微商地位时,则不能代替

局地直角坐标系:

  1. 局地直角坐标系中,单位矢量的方向随空间而变化。
  2. 由于中低纬地区的tan值小,可不记地球曲率的影响,高纬地区则不可忽略,所以可用局地直角坐标系中基本方程组制作中低纬的数值天气预报
  3. 局地直角坐标系忽略曲率项的影响,从而使得方程得到简化
  4. 方程形式简单
  5. 区域大气模式常采用局地直角坐标系

P坐标:

  1. 方程中少了变量ρ,形式简单,等压面接近水平
  2. 连续方程形式简单,ρ不再出现,成为诊断方程
  3. 适用于等压面分析,可直接应用等压面上的气象资料近似计算各气象要素的时间或者空间偏微商
  4. 静力学方程可替代垂直运动方程,从而过滤掉对天气变化影响不大的垂直声波
  5. 下边界条件难以确定,不适合研究地形对大气运动的影响
  6. 由于采用了静力近似假定,不适宜研究小尺度运动规律,P随时间空间变化,会造成网格点的消失或增加,计算困难

σ坐标:

  1. 下边界条件简单,便于研究地形对大气运动的影响
  2. 水平运动方程复杂
  3. 地形陡峭的地方,气压梯度力为两个大量之间的小差,难以精确计算
  4. 可用波普展开计算

地图投影:
按一定的数学条件,把球形的地球表面展绘于平面图上.
种类:等角投影或正形投影、等面积投影、任意投影

投影误差

  • 距离误差:投影面上长度放大或缩小的倍数随地点或方向而改变
  • 面积误差:投影面上面积的放大或缩小的倍数随地点或方向而改变
  • 角度误差:投影面上微小区域任意两条交线的夹角不等于地球上相应两条交线的夹角,导致投影面上某区域的形状于地球上相应区域形状不相似

映像比例尺(地图放大系数、地图放大因子):m=映像平面上的距离/地球表面上相应的距离,标准纬度φ=φ0处,m=1
缩小比例尺、地图比例尺:δ=地图上任意纬度的距离/映像平面上相应的距离
实际比例尺: s=地图上任意纬度的距离/地球表面上相应的距离=mδ

拉米系数H:沿坐标线移动单位量对应的实际距离

三种正形投影:极射赤面投影、兰勃特正形圆锥投影、墨卡托投影

  1. 极射赤面投影:是一种正形割投影,光源位于南极,映像面与地球相割于60度,标准维度为60度,k为1,多用于极地天气图和北半球天气图底图
  2. 兰勃特投影:兰勃托投影也是正形投影,光源位于地球球心,映像面于地球交于30和60度,多用于中纬度地区天气图底图
  3. 墨卡托投影:也是正形投影,光源位于球心,映像面是与地球表面相割于南北纬22.5度的圆柱面,标准维度为南北纬的22.5度,用于低纬度或者热带地区天气图底图

空间差分格式
file
前差和后差都是一阶精度,中央差是二阶精度

显示和隐式

  1. 将空间前后中央差和时间前后中央差通过排列组合之后可以出现多种差分格式
  2. 显示格式就是方程中只有一项是n+1时刻的,就是需要预报时刻的值
    file
  3. 隐式则是有不止一项有n+1时刻的值
    file

差分方程基本性质

  1. 相容性(一致性):差分方程是否逼近原始方程
  2. 收敛性:当时空步长趋于0的时候,截断误差(真解和差分方程精确解之差)为零
  3. 稳定性:就是时间步长趋于0的时候,差分近似解不能趋于0

拉克斯等价定律:当相容性条件满足的时候,稳定性可以保证收敛性
因此泰勒展开的差分格式,只需要证明稳定性就可以保证收敛性

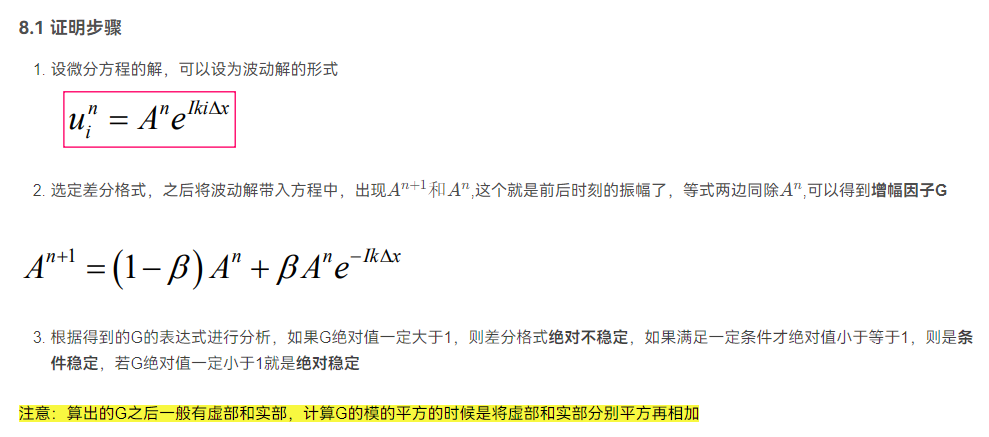
线性稳定性的证明方法(|G|的证明):
根据拉克斯定律,最终的证明目标就是数值解不会无穷增大,可以让振幅后项比前项绝对值小于1,那就不会无限增长,也就是证明增幅因子绝对值小于1

  1. file
  2. file
    file

在|G|=1的数值模式中,随着模式向前积分,中高纬度高空槽脊系统其强度是否会随着时间发生改变,为什么?
|G|=1针对的是差分格式对波本身的影响,而此问题|G|=1差分格式不会干扰物理机制造成影响。
file

非线性不稳定:
在满足线性稳定性的条件下,由于非线性作用(比如初边条件不够恰当,或非线性项的处理不够恰当等)引起的不稳定称为非线性不稳定

混淆误差:
有限网格系统能识别的最短波长为2Δx,如果由于非线性作用产生波长小于2Δx的波会被错误识别为大于2Δx的波,从而造成的误差叫做混淆误差

克服非线性不稳定的方法

  1. 进行时空平滑,滤去短波分量
  2. 构造守恒的差分格式
  3. 大气方程组中加入水平扩散项
  4. 构造具有隐式平滑或某种选择性衰减作用的差分格式

为抑制非线性计算不稳定,常在数值模式中采用平滑和滤波方法;
而为保证线性计算稳定性,在数值模式中需要满足线性稳定性判据(或|G|小于或等于1)条件。

平滑: 平滑就是用某点周围若干点的值进行加权平均来代替该点的值,平滑后的场可以减弱或滤掉短波扰动
通过空间平滑滤波可以有效抑制非线性不稳定,让积分可以持续进行

误差分析:
在有限网格区域下差分格式引起的常见误差有:
计算解问题,频率误差,波数误差,相速度、群速度误差,混淆误差
解决方法为:提高网格分辨率(或平滑滤波)

计算解误差
使用三个时间层积分造成的误差,解出的解是物理解和计算解混合在一起的结果,其中计算解是没有物理意义的误差
误差特点:

  1. 长波误差小,短波误差大
  2. 网格分辨率越高,计算解越小
  3. 计算解存在周期为2Δx的高频振荡
    减少误差方案:
  4. 采用高分辨率网格
  5. 通过平滑滤波的方式滤去短波

频率误差:用时间差代替时间微商会引起频率误差
误差特点

  1. 显式格式会产生高频解,隐式格式会产生低频解
  2. 时间步长取得很小的时候,两者的数值解频率个实际频率都很接近
    减小误差方案:
  3. 减少时间步长
  4. 采用显式隐式相结合的方法进行

相速度和群速度误差:
空间差分格式造成了相速度和群速度误差,从而引起计算频散
误差特点

  • 波长越长误差越小
    减小误差方案
  • 提高网格分辨率,使空间步长足够小,可以减少该误差

常用的时间积分格式
前差(显示格式)
file
中央差格式(显示格式)
file
欧拉后差(显示格式)
file
后差(隐式格式)
file
梯形格式(隐式格式)
file
半隐式格式(隐式格式)
file
小结:
file

正压原始方程组模式:
file
运动方程、静力学方程、连续方程
基本假设:绝热、无摩擦、不可压缩大气、初始时刻大气运动不随高度变化

基本性质:模式滤去了大气中声波,保留了大气长波和重力惯性波,能够描述大气运动的准地转演变过程和地转适应过程

正压原始方程组的积分性质:

  • 质量守恒、动量守恒、位温守恒、水汽守恒、绝对角动量守恒、总能量守恒等物理量的守恒。 正压原始方程上述性质,特别是总能量守恒是构造空间差分格式的约束条件

在建立正压原始方程模式后,为何还需要建立斜压原始方程模式?
由于实际大气是斜压大气,正压原始方程模式不能精确地预报出它的变化,因此需要建立能够描述斜压大气的斜压原始方程模式,这样才能做出更精确的预报

严谨方程组:大气运动的基本方程组是根据大气运动的基本物理定律,严格推推导出来的,它可以描写各种不同尺度大气运动状态的演变

模式初始化:
用原始方程模式作预报时,由于观测或分析资料的误差导致风场和气压场的不平衡,初始资料和数值模式之间的不平衡,直接采用未经任何处理的观测值或分析值作为模式的初始场,容易导致高频振荡,产生计算不稳定。因此,需要对模式的初值进行处理,即称为模式的“初始化”

为什么要进行初值处理

  • 在用原始方程模式作预报时,直接引用各种未加处理的观测值或分析值
  • 做初始场,容易导致高频振荡,使计算不稳定
    1. 观测或分析资料的误差导致风场和气压场之间不平衡
    2. 初始资料和数值模式之间的不平衡

初始化的方法:模式常用的初始化方法包括:静力初始化动力初始化变化初始化三种

大气边界条件种类:垂直边界条件、水平边界条件
水平边界条件有:固定边界、刚体边界、海绵边界、辐射边界、对称反对称边界

为什么要使用嵌套网格?
初始资料的处理及边界条件的好坏对预报质量有显著的作用。要减小边界条件不真实对预报系统的影响,可以把预报区扩大,可以提高模式的水平分辨率,要在整个计算区域内提高空间分辨率,会使计算量迅速增加。为了在这种情况下解决预报效果与计算量的矛盾,提出了嵌套网格的设想。所谓嵌套网格是指对计算的大区域取较粗的网格,而对其中最关心的小区域取细网格,这样既可以改善预报质量,又可使计算量增加不致太大。

什么是数值模式物理过程参数化?
为了提高预报的确率,往往要在数值天气预报模式中引入一些影响大气运动的重要物理过程,而这些过程基本上属于次网格过程,很难用显式的方法在模式中表示出来。通常把上述次网格的物理过程,通过大尺度的物理量来描述它们的统计效应,并作为某些物理量的源或汇包含在大尺度运动方程组中,这种方总统称为“参数化”的方法。
模式的物理过程参数化的主要内容包括:辐射传输、水汽凝结、边界层的处理(湍流对热量、动量和水汽的输送等)、地形作用等等

什么是谱模式?
用谱方法求解偏微分方程数值解,需要把因变量展开成某一基函数的截断级数,从而把因变量转化为其对应的谱系数,通过这种方式,可以把偏微分方程转化为常微分方程组,采用这种方法的数值模式叫谱模式。
优点:计算精度高、稳定性好、计算程序简单、自带滤波
缺点:并行效率不高、对非连续性变量的处理误差大、提高模式分辨率需要重新进行谱展开

资料同化:
目的:通过多个有误差的观测获得更接近“真值”的估计,获得更好的模式和奶场及预报效果
概念:把不同时刻不同地区不同性质的气象资料通过统计与动力的关系使之在动力与热力上协调起来以获得更好的初始场并获得更好的预报效果

气象资料的质量控制方法:1.范围检查 2.极值检查 3.要素间一致性检查 4.时间一致性检查 5.空间场一致性检查 6.背景场检查

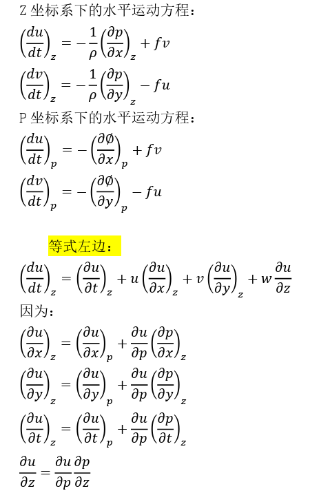
推导题:

  • Z坐标系下的大气水平运动方程组转化为P坐标系下的方程组的详细过程:
    file
    file
    file
    ![Uploading file…]()

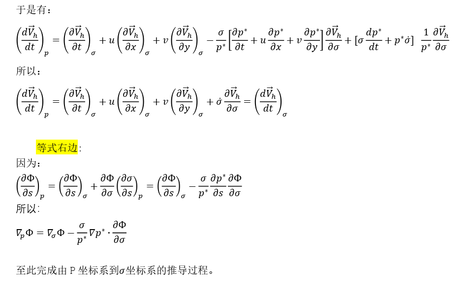
  • P坐标系下的大气水平运动方程组转化为𝛔坐标系下的方程组的详细过程:
    file
    file

  • 将一维平流方程𝜕𝑢/𝜕𝑡+𝑐*𝜕𝑢/𝜕𝑥=0改写成时间向前差分,空间向前差分格式的差分方程,并讨论其稳定性
    file
    另外一种
    ![Uploading file…]()

留下评论

您的邮箱地址不会被公开。 必填项已用 * 标注