第一章
大气运动方程
物理基础:牛顿第二定律
为了使非惯性坐标系可以套用牛顿第二定律,需引入惯性力。
惯性坐标系与非惯性坐标系的转换方法:绝对加速度与相对加速度
- 绝对位移=牵连位移+相对位移
- 绝对速度=牵连速度+相对速度
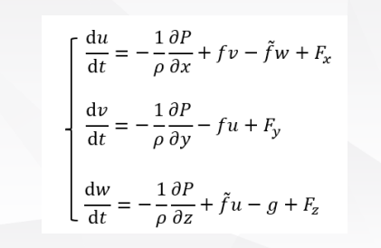
单位质量空气的合力是真实的力,包括气压梯度力;摩擦力和万有引力:科氏力和惯性离心力是视示力
气压梯度力
- 定义:当气压分布不均匀时,单位质量气块上受到的净压力称为气压梯度力。

- 性质:1. 气压梯度力是由气压分布不均匀引起的。 2. 气压梯度力的方向指向气压梯度(-𝛻𝑃)的方向,即由高压指向低压,垂直于等压线。 3.气压梯度力的大小与气压梯度成正比,与空气的密度成反比,即等压线越密集,气压梯度力越大。在同样的气压梯度下,高空的风就比低空的风大,因为高空的密度小。 4.水平气压梯度力比垂直气压梯度力小很多。水平方向:100km相差1hPa ; 垂直方向:8-10m相差1hPa ;
摩擦力:
- 分为外摩擦力和内摩擦力,内摩擦力分为分子粘性力和湍流粘性力
- 概念:单位质量空气块所受到的净粘滞力。
分子粘性力:空气是一种粘性介质,当某一层空气对邻近一层空气有相对运动时,周围空气作用在空气微团表面上的粘滞力。
摩擦力性质:
- 摩擦力与风垂直切变的垂直变化成正比。
- 风垂直切变的垂直变化为正时,摩擦力指向正向,摩擦力使气块作正向加速。
- 风垂直切变的垂直变化为负时,摩擦力指向负向,摩擦力使气块作负向加速。
- 大气为低粘性流体,一般只在行星边界层(摩擦层)考虑摩擦作用,自由大气中则忽略摩擦作用
地转偏向力:为了将牛顿第二定律运用于旋转坐标系而引进的一种示视力,是空气相对于旋转坐标系的偏向加速度,称为地转偏向力。
地转偏向力公式:
地转偏向力性质:
- 运动的物体都会受地转偏向力的作用(静止时为0)。
- 地转偏向力A与Ω相垂直,而Ω与赤道平面垂直,所以A在纬圈平面内。
- 地转偏向力A与V垂直,因而地转偏向力对运动气块不作功,它只改变气块的运动方向,不改变其速度大小。
- 垂向地转偏向力较小,垂直速度一般也较小,气块主要受水平地转偏向力的影响。
- 对于水平运动而言,在北半球地转偏向力指向运动方向右侧,南半球则相反。
- 水平地转偏向力大小与相对速度成正比;与纬度的正弦成正比。即风速越大,地转偏向力越大;高纬度的偏向力大,低纬度的偏向力小
局地直角坐标系中大气运动方程组:运动方程的分量形式

控制大气运动基本定律
连续方程:表示大气质量守恒定律的数学表达式称为连续方程




大气的水平辐散加强了大气的下沉运动;大气的水平辐合加强了大气上升运动

- 质量增加:流体流入、水平辐合、体积收缩、上升运动加强
- 质量减少:流体流出、水平辐散、体积膨胀、下沉运动加强
热力学方程概念:热力学第一定律(能量守恒定律)
位温:单位质量空气受到外界的加热会导致温度发生变化

大气运动系统的控制方程
局地直角坐标系中的大气运动基本方程组:
大气运动系统的分类:


尺度分析是针对某种类型的运动估计基本方程各项量级的一种简便方法。通过尺度分析,保留大项,略去小项,可以使方程得到简化。
大尺度系统方程简化:
- 零级简化只保留方程中数量级最大的各项,其他各项都略去不计。
- 一级简化除保留方程中数量级最大的各项外,还保留比最大项小一个量级的各项,而将更小的各项略去不计。
中纬度大尺度运动的5个性质(5个准):
- 准定常(无时间导数)
- 准水平(无垂直速度)
- 准地转平衡(水平方向上科氏力和气压梯度力相平衡
- 准静力平衡(垂直方向上重力和气压梯度力相平衡)
- 准水平无辐散(水平散度为零)

中纬度地区大尺度运动的预报方程组(Z坐标系下):

运动方程,静力平衡方程,连续方程,状态方程,热力学方程
P坐标系基本方程组
静力平衡关系:垂直方向上气压梯度力和重力平衡叫静力平衡。
大尺度运动的静力平衡关系是建立𝑷坐标系的物理基础
天气图分为地面天气图和高空天气图
- 地面天气图(海平面天气图):以等压线P表示气压高低;
- 高空天气图 (等压面图):以等高线H表示气压高低,实际使用位势
Φ = m𝑔H(重力势能,H为位势高度)
𝜙 = 𝑔H(𝜙是位势,单位质量的物体所含的重力势能。单位gpm位势米;dagpm位势什米)
位势:单位质量的物体从海平面上升到z高度克服重力做的功
位势高度:当前位势所在的高度——就是上述公式中的z,单位位势米
ω与P的关系:空气做上升运动时,𝑤 > 0, 𝜔 < 0;下沉运动时, 𝜔 > 0。
𝑝坐标系中方程组的优点:
- 高空等压面天气图(分析𝐻𝐻);
- 水平气压梯度力没有出现密度;
- “𝑝”坐标系中连续方程的形式比较简单;
- 观测资料里没有密度。
风场与气压场的关系
地转平衡:中纬度地区的大尺度运动,水平气压梯度力与地转偏向力近似平衡
地转风:气压梯度力和地转偏向力的平衡时的风
地转风在P坐标系下的形式:

地转风的特性:
- 地转风描述的是中纬度自由大气的大尺度系统中的水平直线匀速运动。
- 地转风是理想状态,是对实际风的一种近似。
- 地转风的大小与水平气压梯度力大小成正比与纬度成反比。等压线(等高线)越密集,地转风越大;水平气压梯度力相同时,纬度愈高地转风速愈小。风速相同时,在低纬的等高线比高纬的等高线稀疏。
- 地转风的方向:平行于等压线,在北半球,背风而立,高压在右,低压在左;南半球,背风而立,低压在右,高压在左。
- 地转风的水平散度(不考虑 𝑓变化)=0。
热成风:地转风随高度的变化。
热成风的性质:
- 热成风的大小与水平温度梯度成正比,与纬度成反比。
- 热成风的方向与等温线平行,
背热成风而立,高温在右,低温在左。 - 温度梯度越大,斜压性越强,热成风越大。
地转偏差:实际风𝑉和地转风𝑉𝑔就会产生偏差,即地转偏差𝑫。
情况1:自由大气中的地转偏差
在自由大气中,空气受水平气压梯度力和地转偏向力的作用,在地转平衡建立过程中的风与地转平衡建立后的地转风之间的偏差;
自由大气中地转偏差的特征:
- 地转偏差的大小与水平加速度的大小成正比,与𝐟成反比。
- 地转偏差的方向与水平加速度方向相垂直并且指向加速度方向的左侧。
情况2:摩擦层中的地转偏差
在摩擦层中,实际风受地转偏向力,水平气压梯度力和摩擦力的影响,此三力平衡下的风与地转平衡下地转风之间的偏差。
摩擦层中地转偏差的特性:
- 地转偏差的大小与𝐟成反比,与摩擦力大小成正比。
- 地转偏差的方向与摩擦力垂直并指向摩擦力方向的右侧。
摩擦层大气中的风压定律:在北半球背风而立,高压在右后方,低压在左前方,风斜穿等压线吹,并指向低压一侧,等压线越密,风速越大。南半球风的运动方向与北半球相反。
梯度风:惯性离心力、气压梯度力、科氏力平衡
梯度风平衡:空气作曲线运动时达到的受力平衡
梯度风存在时:等压线与流线重合。(因为三力平衡,风速不变,方向改变的风)
三力平衡 (G,A,C) 梯度风(C是惯性离心力,A是科氏力,G是气压梯度力):
- 正常的低压(G=A+C)
- 正常的高压(A=G+C)
- 异常的低压(C=G+A)
第二章
气团
气团:水平方向上物理性质(温度、湿度、稳定度等)比较均匀的大块空气,这种性质比较均匀的大块空气叫做气团
气团的性质:
- 水平范围常可达几百到几千公里;
- 垂直范围常可达到几公里到十几公里
- 水平温度差异小,一百公里范围内的温度差为1℃,最多不超过2℃
- 垂直方向上温度随高度递减
形成条件:稳定的环流和大范围性质一致的下垫面(性质均匀的广阔的地球表面下沉辐散)
气团变性:气团的物理属性逐渐发生变化。冷气团变性比较快;暖气团变性比较慢。(原因:暖气团到冷的地区——上暖下冷,稳定;冷气团到暖的地区——上冷夏暖,不稳定;大陆移到海洋的气团容易取得蒸发的水汽而变湿,而从海洋移到大陆的气团,则要通过凝结及降水过程才能变干,所以气团的变干过程比较缓慢。)
气团分类:
热力:分为暖气团,冷气团
地理分类:北极气团(70-90)/极地气团(海洋性/大陆性;40-70),热带气团(海洋性/大陆性;20-40),赤道气团(0-20);也可以按照地域分类,分为海洋/大陆性气团。
影响我国的两个主要气团:西伯利亚气团;热带太平洋气团 。
我国境内的气团活动:多为变性气团;
暖气团:天气比较稳定
冷气团:夏季容易出现雷电/阵雨;冬季冷气团干燥容易产生雾
锋的概念
锋的定义:冷暖气团的交界面,称为锋面。

锋面:随着高度向冷区倾斜。冷气团在下,暖气团在上。
锋区:密度不同的两个气团之间的过渡区,在天气图上温度水平梯度大而窄的区域,随高度向冷区倾斜,是一个等温线的密带。锋面与空中某一平面相交的区域(上界和下界之间的区域)为锋区。
锋线:地面锋线总在高空锋区暖区一侧。
锋的宽度:200-400km
锋面高度:10km左右
冷锋:冷气团起主导作用,推动锋面向暖气团一侧移动,称为冷锋。
暖锋:暖气团起主导作用,推动锋面向冷气团一侧移动,称为暖锋。
准静止锋:冷暖气团势力相当,锋面移动缓慢或相对静止(6小时移动在1个纬距之内),称为准静止锋。
锢囚锋:由冷锋赶上暖锋或者两条冷锋迎面相遇叠并而成的锋。两条锋面相遇时,迫使暖空气被抬离地面,凌驾在上空。锋前锋后都是冷气团。
冷、暖锋的差异:
- 为什么冷锋和暖锋在近地面的形状不同?
因为冷锋是冷气团推动前进,暖锋是暖气团推动前进,在近地面受到摩擦力的作用,所以造成了近地面形状的差异。 - 由于冷空气比暖空气重,在地面,气压梯度力从冷气团指向暖气团;随着高度增高,气温的差异使得等压面发生倾斜,在高空气压梯度力转为由暖气团指向冷气团(参考热成风),因此高低层气压梯度力相反,使得锋面向冷区倾斜;但在倾斜过程中,由于锋面是大尺度系统,温差产生的气压梯度力最终会被科氏力平衡,风不再穿越锋面而变为平行于锋面,因此锋面的倾斜会停止,并保持在一定的角度,称为锋面坡度。
锢囚锋的分类:
冷式锢囚锋:冷锋后的冷气团比暖锋前的冷气团更冷(更冷的在后面)
暖式锢囚锋:暖锋前的冷气团比冷锋后的冷气团更冷(更冷的在前面)
中性锢囚锋:锋前后的冷气团属性无大差别(两个冷空气一样冷)
三类锢囚锋的特征:高空暖舌相对地面锋线的位置;

密度的零级不连续面:密度在锋面两侧不相等,但是气压相等。
Margules 锋面坡度公式(公式):

锋面坡度的特性:
- 锋面坡度随纬度(f)增高而增大。
- 锋两侧温差(ΔT)越大坡度越小,温差为零则不会有锋面。
- 冷暖气团的平均温度(𝑇𝑚)越高坡度越大。
- 锋两侧风速差(Δ𝑉𝑔)为零时,锋面不存在;锋面两侧平行于它的地转风分速应具有气旋式切变(Δ𝑉𝑔>0)。
5.锋附近气流曲率很大时用梯度风代替地转风,即气旋曲率越大的气流中的锋面坡度越大。
锋面附近气象要素场的特征
锋附近各要素:坡度、气象要素及天气有突变;气象要素包括:温度T、气压P、变压Δp3(Δp24)、湿度ԛ(𝑇d) 、风𝑉等。
锋区内温度水平梯度大,锢囚锋在高空图上有暖舌,暖舌两侧等温线密集。
应用:
- 根据锋区内等温线密集程度确定锋区强度、地面锋线位置,等压面上冷暖平流确定锋的类型。
- 类型:暖锋高空暖平流;冷锋高空冷平流;静止锋高空冷暖平流不明显;锢囚锋高空有暖舌。冷锋地面锋线在高空锋区前,暖锋地面锋线在高空锋区后。
垂直方向温度变化:
锋区内温度垂直梯度小,逆温、等温或递减率小,两侧气团内温度随高度递减;冷暖气团温差越大,锋面逆温越强或过渡区越窄,通过锋区时,等温线弯折越厉害。
位温:把干空气块绝热膨胀或压缩到标准气压(1000hPa)时的温度
- 在对流层中,一般0<𝛾< 𝛾𝑑(稳定) ,有 𝝏𝜃/𝝏𝒛>0 即 𝜃 随高度 𝒛 增加而增大;但在锋区内,𝛾≤0(逆温),而锋区外𝛾>0,所以(𝛾𝑑 − 𝛾)在锋区内大于锋区外,即:锋区内 𝝏𝜃/𝝏𝒛比周围大,所以锋区内等位温线密集。
- 假定锋面是物质面,即其两侧的冷、暖空气只能沿锋面上下滑动。而在干绝热条件下,𝜃 是守恒的,于是沿锋面滑动的空气的位温将保持不变,因而锋面必将是等 𝜃 面。
- 等位温面向冷区倾斜,与锋面倾斜的方向一致。
- 实际锋面并非物质面,水汽凝结现象也经常发生,等位温面与锋面一般为近似平行,在近地面,非绝热影响较大,等𝜃面与锋面有较大夹角。
- 在实际大气中,考虑水汽凝结的影响,可用假相当位温𝜃𝑠𝑒代替𝜃进行分析,同样可得:锋区中等𝜃𝑠𝑒线密集,锋区与等𝜃𝑠𝑒线平行,𝜃𝑠𝑒随高度迅速增大,在锋区附近,中低层冷锋前有舌状高值区,冷锋后有舌状低值区。
- 假相当位温自地面向上伸展的舌状高值区多为上升运动区,湿度大。自高空指向低层的舌状高值区多为下沉运动区
锋线处在低压中,等压线通过锋面时会发生气旋性弯曲,并且其折角指向高压。
变压:指某一点的气压随时间变化的大小。通常分析3小时变压和24小时变压。
变压场:看代数值和绝对值,代数值锋前小于锋后,绝对值得观察是冷锋还是暖锋。

变压场结论:
- 冷锋后为正变压;暖锋前为负变压。冷锋前暖锋后,准静止锋附近,变压不明显。
- 锋面移动越快,锋面坡度越大,锋两侧冷暖气团间的温差越大,则暖锋前的负变压和冷锋后的正变压也就越大,反之越小。
- 锢囚锋前多为三小时负变压,锢囚锋后多为三小时正变压。对于暖式锢囚锋,由于冷锋位于暖锋上方,故正变压线常出现在地面锋线前;对于冷式锢囚锋,由于暖锋位于冷锋上方,故负变压常出现在地面锋后。
气压倾向方程:知晓影响的两个因子

风场变化:
垂向风场变化:
• 锋区中温度水平梯度大于两侧,锋区中热成风比锋区外大得多。
• 风随高度顺转,暖平流最强且热成风最大高度为高空暖锋区;风随高度逆转,冷平流最强且热成风最大高度为高空冷锋区;
• 热成风大而无明显平流,可能是静止锋。
• 冷锋附近风向随高度逆转
• 暖锋附近风向随高度顺转
密度零级不连续和密度一级不连续的区别:
一级不连续有两个锋面,一个冷界面一个暖界面,讨论时应该分为两个锋面坡度,一冷一暖。
气压场:锋区内等压线气旋式曲率比锋区外大得多,反气旋式曲率比锋区外小得多。
风场:锋区中温度水平梯度大于两侧,锋区中热成风比锋区外大得多。
变压场:暖锋锋区内变压梯度较锋区外为大。即:地面锋区中等变压线密集,在锋区外等变压线稀疏,变压值也较小。
冷锋锋区内变压升度较锋区外为大。即:地面锋区中等变压线密集,在锋区外等变压线稀疏,变压值也较小。
锋面附近湿度场特征:
- 暖空气湿度大,露点高。
- 冷空气湿度小,露点低。
- 特殊情况下受下垫面影响:海洋上的冷空气——湿冷;大陆上的暖空气——干暖
锋面分析
运用:高空测风资料的应用(单站测风):热成风方向大致代表锋区的位置;根据风向随高度的转变确定锋的性质;原点与代表锋面的热成风的垂线代表锋的移向和速度。


例子:



锋生锋消
锋生/锋消:密度不连续面的形成过程或水平温度梯度加大的过程;即锋的生成或原有锋强度增强的过程,均称 为锋生;反之为锋消。
锋生锋消函数:





为什么鞍型气压场易于锋生?
解释稳定大气中的冷锋上山以及下山
eg:冷锋上山都是锋消 X(不稳定大气中可能是锋生)
我国锋生锋消概况:
- 北方锋生带(40°~ 50° N): 河西走廊——东北,与极锋锋区位置一致;
- 南方锋生带(20°~ 30° N):华南——长江流域,与副热带锋区位置一致;
- 南北锋生带随季节位移,自春到夏,逐渐北移,自夏到冬,逐渐南移。夏季偏北,冬季偏南;
- 有些地区的锋生与地形有关。
(只需要有个概念)锋生时的温压场形势:

我国锋消区:

- 青藏高原以东 ,30°~ 40° N
- 高原东侧——下坡下沉气流作用;
- 冬季处于东亚大槽后部——下沉气流(槽后西北风);
- 夏季(6-9月)锋消较多,特别是7、8月份,副热带高压西伸北移,控制东部地区,环流形势有利于锋消。
- 季节特征:夏半年锋消较多,绝大多数冷锋在中国大陆消失,极少能继续东移入海。主要受太平洋副热带高压及冷气团南下变性导致锋消。
- 锋消的几种情况:高空或者地面形势变化;冷暖平流减弱或消失;锋两侧变压差减小;气团变性;锋生次级环流使中层趋于锋消。
第三章
气旋定义:是占有三度空间,在同一高度上中心气压低于四周流场中的大尺度涡旋。涡旋中的空气在北半球逆时针旋转,在南半球顺时针旋转。又称为低压。
气旋的水平尺度:一般用最外围闭合等压线包围的直径来表示。平均直径1000km左右,大的可达3000km,小的有几十公里。(极涡,锋面气旋,台风,中尺度低压)
反气旋定义:是占有三度空间,在同一高度上中心气压高于四周流场中的大尺度涡旋。涡旋中的空气在北半球顺时针旋转,在南半球逆时针旋转。又称为高压。
反气旋的尺度:比气旋大得多,大多呈椭圆形,其长轴
方向可以和整个大陆或海洋比拟。冬季亚洲大陆多为西北-东南向,反气旋尺度可达亚洲大陆的四分之三。
气旋反气旋强度:

气旋的分类:
地理区域:温带/热带气旋
热力结构:
- 锋面气旋:
由冷暖气团组成,其中有锋面,且温压场是不对称的,一般移动性较大,是带来云和降水的主要天气系统,由于温带地区大气斜压性强,故大多数温带气旋为锋面气旋。 - 无锋面气旋:热带气旋/台风/热低压
反气旋:
地理区域:
- 极低反气旋
- 温带反气旋
- 副热带反气旋
热力结构:
- 冷性反气旋:
温压场不对称,多属冷性反气旋——冷高压 - 暖性反气旋:
出现在副热带地区的高压。北半球的副热带高压主要有太平洋高压和大西洋高压
我国气旋发生区域:
北方气旋:(44-55°N)
蒙古气旋 ;东北气旋 ;黄河气旋;黄海气旋南方气旋:(25-35°N)
江淮气旋;东海气旋
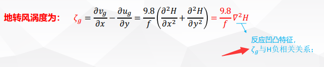
涡度与涡度方程
涡度:涡度就是用来描述大气旋转程度的一个物理量
涡度的定义:涡度( 𝜁⃑)是度量流体元量旋转程度和方向的物理量。
北半球,逆时针(气旋性)旋转为正涡度;
顺时针(反气旋性) 旋转为负涡度。
相对涡度:水平旋转涡度就是涡度的垂直分量,又称之为大气的相对涡度 ζ

(要求知道涡度是温度的哪一个分量)
地转风涡度:在大尺度运动中,满足地转关系,涡度中的实际风可以用地转风代入(“把这个涡度当中的速度全部换成地转风”)

计算涡度第二种形式:(使用天气图判断)

自然坐标系中的涡度表达式:

曲率涡度,表示等高线的曲率造成的涡度
切变涡度,风沿 𝑛 方向不均匀造成的涡度。

绝对涡度:分为相对涡度和行星涡度

地转涡度(行星涡度) 𝑓𝑓 的性质:

涡度方程:
P坐标系下的垂直涡度方程

掌握各个公式对应的含义,以及如何影响涡度的局地变化








涡度方程简化以及结论:

知晓条件——大气水平无辐散
绝对涡度守恒性:北半球平直西风气流中(水平无辐散),绝对涡度是守恒的;北半球平直西风气流受到扰动向北转向时(正压有辐散),绝对涡度就不守恒。
位势涡度(位涡,Potential Vorticity):绝对涡度与涡旋有效厚度之比。
位势涡度守恒:

物理含义:
气柱变长(必然伴随辐合),相对涡度增大(有利于气旋发展);
气柱缩短(必然伴随辐散),相对涡度减小(有利于反气旋发展)。
(以下简要理解)


位势倾向方程:

了解各项名称以及如何影响整个方程
分析:槽前脊后:有正的地转风相对涡度平流
槽后脊前:负的地转风相对涡度平流
对称槽,脊线上: 𝛻𝜁𝑔 = 0
因而此项对槽脊强度无影响,而是使其向前(东)移动。

物理解释:


地转风地转涡度平流:

大气长波要考虑地转风地转涡度平流的作用,该项使槽脊向后(西)移动,强度无变化。
总结:什么情况下使得槽脊移动,什么时候使得槽脊发展,什么时候使得地面系统移动,什么时候使得地面高低压系统发展?

定性作用:若某对流中上层等压面以下有暖平流,将使气柱膨胀,厚度增大,若此时地面没有补偿的气压降低,则此等压面必须升高。反之:若等压面以下有冷平流时,将使气柱厚度减小,此时,如果地面没有补偿气压升高,则等压面必须降低。
物理解释:


结论:因而此项对槽脊移动无直接影响,而是使其强度发生改变。
非绝热加热随高度的变化项:

总结各项作用:

位势倾向方程的特点:

𝝎方程(掌握各项以及各项如何影响方程):



涡度平流随高度的变化物理意义:

厚度平流(温度平流)的拉普拉斯项:


物理意义:

非绝热加热的拉普拉斯项

物理意义:加热区,500hPa等压面升高,温压场不平衡,在气压梯度力作用下,产生水平辐散,为保持质量连续,必产生上升运动。
各项总结:

温带气旋反气旋
热力因子:

动力因子:


PPT中的结论:

小结(最低限度理解):



温带气旋生命史:四个阶段——波动阶段/成熟阶段/锢囚阶段/消亡阶段
波动阶段
- 开始出现低压中心,比周围气压低2-3hpa, 移动较快,地面摩擦小
- 温度场落后于高度场
- 气旋位于高空槽前,前方为暖平流,后方为冷平流
- 热力因子使气旋移动
- 动力因子使气旋加强
- 气旋一边移动一边发展
成熟阶段
- 闭合等压线增多,比周围气压可以低10~20hpa,移动减速,地面摩擦加大
- 温压场配置和波动阶段类似,但温度场与高度场有所接近
锢囚阶段
- 摩擦影响已成为主要因子
- 暖空气被抬离地面,降水强度和范围加大,移速大大减慢,低压中心可以比周围低20hpa以上
- 等高线和等温线夹角已经减小,温度平流减小
- 气旋发展到最深阶段,移动缓慢,开始减弱
- 气旋底层被冷空气控制,高层的温度对比仍然明显
消亡阶段
- 温压场接近重合
- 地面气旋变为一个冷低压
- 由于摩擦辐合使气旋填塞而消亡
气旋再生:趋于消亡的气旋在一定条件下又重新发展起来的过程
气旋再生的三种情况:
- 副冷锋加入的再生
- 气旋入海后加强
- 两个锢囚气旋合并加强
气旋族:在同一锋系上同时出现几个不同发展阶段的气旋序列
活动:

热低压:

东亚气旋与反气旋
北方气旋:45°-55°N,70°-140°E
代表气旋:蒙古气旋、东北气旋、黄河气旋、黄海气旋
南方气旋:25°- 35°N,70° 140°E
多生成于我国的江淮流域、东海和日本南部海面的广大地区,降水为主,量大,有时出现雷阵雨.
代表气旋: 江淮气旋、东海气旋
东亚气旋的路径:
- 日本以东或东南方洋面;
- 我国东北地区;
- 朝鲜、日本北部地带
东亚反气旋的路径:
- 亚洲大陆西北一西伯利亚一蒙古一我国
- 亚洲大陆北方自北向南或自东北向西南转向东南一西伯利亚一蒙古一我国
- 亚洲大陆西方由西向东直接进入我国或折向东北由蒙古进入我国(夏半年)
- 蒙古一我国
蒙古气旋的生成过程:
- 暖区新生
- 冷锋进入倒槽
- 蒙古副气旋
3类蒙古气旋共同特征: 有利的地形(背风坡)和发展疏散槽前的暖平流,使蒙古中部先出现热低压(或暖性倒槽),再叠加高空槽前正涡度平流,使低压发展,槽前暖平流促使暖锋锋生,冷锋越山进入低压,锋面气旋形成。
江淮气旋生成过程:
- 静止锋波动

- 倒槽锋生气旋

典型气旋和倒槽锋生气旋有何不同?
典型气旋
a. 发生在冷高压的南部;
b. 东、西风的切变明显;
c. 形成开始就存在有明显的锋面,高空有扰动。倒槽锋生气旋
a.发生在倒槽中;
b.具有西南风和东南风的切变;
c.形成之初无明显锋区,以后由于锋生,锋区才开始明显起来,但高空有比较明显的槽.
典型气旋是在高空平直气流的扰动上发展起来的,先有静止锋,产生波动;
倒槽锋生气旋高空有明显的槽,地面先无锋面,冷锋进入倒槽,暖锋锋生。
爆发性气旋:
含义: 24小时内气压下降在24hPa以上,天气变化激烈,辐合很强,可生成灾难性天气。 (这是指在60°N地区而言的)。
出现位置:
- 多形成于日本以东的西北太平洋上,又以冬春季为最多。
- 绝大多数的东亚爆发性气旋形成于高空西风急流出口区的左侧,少数形成于入口区的右侧。
第四章
大气平均流场
大气环流:一般指全球规模的、大范围的大气运行现象,它既包括平均状态,也包括瞬时状态。是各种不同尺度的天气系统发生发展和移动的背景条件。
经向环流:空气沿经圈方向运动(南北向)
纬向环流:空气沿纬圈方向运动(东西向)
平均纬向风分量(知道怎么分布的就行,以及冬夏差异):




平均的水平环流:
对流层中部(500hPa)
冬季(三槽三脊):
- 中高纬:
三槽:亚洲东岸、北美东部、欧洲东部
三脊:阿拉斯加、西欧沿岸、青藏高原北部

- 低纬:

夏季(四槽):
- 中高纬:
四槽:东移北美大槽、东移东亚大槽、欧洲西岸槽、高原北部槽

- 低纬:
三个闭合中心:北太平洋、北大西洋、非洲大陆西部

海平面(对流层底部):
冬季
两低三高+两个副高:
• 两低:冰岛低压、阿留申低压
• 三高:亚洲冷高压、北美冷高压、格陵兰冷高压
• 两副高:太平洋副高、大西洋副高

夏季
四低一高+两个副高:
• 两大陆低压:亚洲冷高压、北美冷高压
• 一高:格陵兰冷高压
• 两副高增强:太平洋副高、大西洋副高
• 两减弱低压:冰岛低压减弱、阿留申低压减弱
• ITCZ北移

半永久性大气活动中心:在北半球,冬夏均存在的系统,对广大地区的天气和气候有
重大影响,它们的变化可以体现大气环流的变化。
- 冰岛低压,阿留申低压,太平洋副高(夏威夷高压),大西洋副高(亚速尔高压),格陵兰高压。
季节性大气活动中心:季节性系统,在一定季节中经常存在
- 亚洲高压(蒙古高压或西伯利亚高压),亚洲热低压,北美冷高压,北美热低压
半永久性大气活动中心在海洋和冰原;季节性大气活动中心在陆地上。
6月和10月突变(冬三夏四):
冬季和夏季的槽脊位置基本上是稳定或渐变的,它们占去全年相当长的时间,而两个过渡季节是短促的,在短促的时间中完成环流的季节转换常称为突变,一次发生在6月,另一次发生在10月,这种突变是半球范围乃至全球范围的现象。但以亚洲最为明显。
西风急流的南北移动(急流北跳):
冬季东亚存在两支强西风带,到了6月,南支强西风突然不见了,而北美的强风带也明显北移。
到10月东亚又出现两支强西风带,北美的强西风带也南移回到冬季的位置。
控制大气环流的基本要素
大气环流的直接能源来自下垫面的加热、水汽相变的潜热加热和大气对太阳短波辐射的少量吸收。其最终能源还是来自太阳辐射
太阳辐射通过赤道与两级之间的温差,形成热力环流
在直接热力环流圈的基础上,考虑地球自转便形成三圈环流。

• 三圈:Hadley Cell, Ferrel cell, Polar cell
• 三风:低纬度信风,中纬度西风,极地东风;
• 四带:赤道低压(辐合)带 ITCZ(Intertropical convergence zone),副热带高压带,副极地低压带,极地高压带。
• 两条行星锋区:极锋,副热带锋。
• 两支急流:极锋急流,副热带西风急流。
三圈:哈德莱环流与极地环流是热力影响的直接环流,而费雷尔环流是动力强迫形成的间接环流。
三风四带:指的是对流层中低层。对流层高层全部以西风为主。
两条行星锋区:极锋在对流层中低层而副热带锋在对流层高层,极锋有地面锋线而副热带锋无锋线。(差异:纬度有差异,形成的锋区高度也有差异)
海陆分布对大气环流的影响
- 海平面的气压场:“半永久性大气活动中心”、“季节性大气活动中心”。
- 海陆风环流:白天吹海风,晚上吹陆风。
- 季风环流:季风是一种与年循环相联系的现象,是大气环流季节变化的一种最典型表现。夏季在大气低层从海洋吹向大陆,冬季反之,夏季风潮湿,冬季风干燥
- 形成平均槽脊
地形的影响的动力作用:大地形使气流分支,绕流,爬坡等,并使其速度发生变化。
地形的影响的热力作用:青藏高原夏季热源,冬季冷源。
极地环流概况
极涡:在60 °N(S)- 90 °N(S)范围内绕极地逆时针旋转的大气环流。
极涡是活动于极地附近的冷性涡旋其中心温度最低,是高纬度大尺度环流中重要的系统之一。
形成:近地表冬季极地辐射冷却(北冰洋),冷空气堆积形成的浅薄冷高压,700hPa以上出现冷低压。
500hPa处极涡:

极涡活动与东亚大气环流和寒潮的关系:
强寒潮过程中极涡维持在亚洲,而且强寒潮发生前,亚洲上空早已形成并稳定地维持了一个强大的极涡系统;极窝的南下伴随着寒潮。

热带环流
南亚高压活动特征:
季节变化:
冬季暖高中心位于菲律宾东南沿岸附近
- 4月向西北移(脊15°𝑁𝑁)
- 5月中南半岛(脊23°𝑁𝑁)
- 6月跳上高原(脊28°𝑁𝑁)
- 7,8月于高原上最强(脊32° − 33°𝑁𝑁)
- 9月移到海上(脊28°𝑁𝑁
小结:
- 低纬地区地面主要风系是信风带和季风。
- 主要的环流系统为与哈德莱环流相关的,副高、ITCZ(季风槽)。
两支信风汇合的辐合带特称为信风辐合带(气压场称为信风槽)
信风与季风(或赤道偏西风)汇合的辐合带,称为季风辐合带(也称为季风槽) - 夏季的高层,主要是南亚高压、北美高压和之间的洋中槽
平均经向垂直环流:


沃克环流:纬圈环流最主要的结构是在印度尼西亚和西太平洋暖洋面上的上升运动及其东西两侧的下沉运动
大型扰动
西风带:平均水平环流在对流层盛行西风
西风带特征:
- 槽脊:冬三夏四
- 西风带波动:西风带的波状流型
- 西风带环流:经向环流和纬向环流
西风指数(环流指数):把两个纬度带之间的平均位势高度差作为西风指数 。
高指数→纬向环流 / 低指数→经向环流
指数循环:西风环流的中期变化主要表现为高低指数交替循环的变化过程,称为指数循环。
西风带长波分为:超长波/长波/短波
波数公式的讨论:


长波调整:广义的长波调整包括长波位置的变化和长波波数的变化,一般仅把长波波数的变化及长波的更替称为长波调整。长波调整是与长波稳定相对立的概念,长波稳定时,大型环流很少变动。
上下游效应:大范围上、下游系统环流变化的联系,称为上下游效应。
上游效应: 上游某地区长波系统发生某种显著变化之后,接着就以相当快的速度影响下游系统也发生变化。
下游效应: 当下游某地区长波发生显著变化后也会影响上游环流系统发生变化。
能量频散:从能量学观点来看,槽脊的发展加深是波能量增大所致,而增大的波能按照群速度传播对下游(或上游)系统产生影响,这种现象称为“能量频散”。
阻塞高压:在西风带长波槽脊的发展演变过程中,在脊不断北伸时,其南部与南方暖空气的联系会被冷空气所切断,在脊的北边出现闭合环流,形成暖高压中心。
阻塞形势:阻塞高压出现后的大范围环流形势称为阻塞形势。基本特征是有阻塞高压存在并且形势稳定。它是一个富有特征的经向环流,它的建立、崩溃、后退常常伴随着一次大范围(甚至整个半球范围)的环流形势的强烈转变。它的长久维持会使大范围地区的天气反常。
阻高:
- 中高纬度(一般在50°N以北)高空有闭合暖高压中心存在,表明南来的强盛暖空气被孤立于北方高空。
- 暖高至少要维持三天以上,但它维持时期内,一般呈准静止状态,有时可以向西倒退,偶尔即使向东移动时,其速度也不超过7~8经度/天。
- 在阻塞高压区域内,西风急流主流显著减弱,同时急流自高压西侧分为南北两支,绕过高压后再会合起来,其分支点与会合点间的范围一般大于40~50个经度。
阻高出现时间地区:在亚洲地区,阻塞高压经常出现在乌拉尔山及鄂霍次克海地区。平均则为8天,最短为3~5天
阻高建立的类型:
波动不稳定发展型
波动叠加型
阻塞高压形成的共同点(了解):
1.阻塞高压形成的上游地区,有较强的冷空气向南爆发,冷平流使低槽加深,槽前出现较强的暖平流与明显的暖舌。
2.于是暖平流与负的热成风涡度平流输入前面的高脊,使高脊不断发展,根据位势倾向方程和高空形势预报方程:
3.高脊西侧有槽向东南伸展 ,成为西北 –东南走向的槽,高脊东侧的槽向西南伸展,成为东北–西南走向的槽,使得高压脊断开,成为阻塞中心。这种槽的斜伸,常与冷平流造成的负变高相联系。
分析图中阻高形成:

阻塞高压重建:阻高在某地建立相当长时间又趋于消失后另一个阻高又相继建立起来,这个新阻高若是在旧阻高的原地建立,称为阻高重建。
阻高后退:如果一个阻高的西侧为正变高,东侧为负变高,那么阻高将西退。这种后退是连续的,称为连续后退。如果一个阻高趋于消失,而在消失的阻高西侧一段距离的地方又新生一阻高,看起来好像阻高也在后退,其实是一个生成,另一个消失。阻塞高压位置作幅度较大后退,称为不连续后退。
阻塞崩溃:有2种情况使得阻塞高压崩溃
- 小槽入侵使阻塞高压填塞
- 长波的重新调整
切断低压:在槽不断向南加深时,高空冷槽与北方冷空气的联系会被暖空气切断,在槽的南边形成一个孤立的闭合冷性低压中心,叫切断低压。
结构:
- 它出现在对流层中上层,在300百帕上表现最清楚。
- 地面图上有一冷性高压与它对应。我国最常见的切断低压是东北冷涡。它一年四季都可能出现,而以春末、夏初活动最频繁。它的天气特点是造成低温和不稳定性的雷阵雨天气。
急流
急流的含义:一股强而窄的气流带
急流是大尺度系统:水平长度达上万公里,水平宽度几百公里,厚度几公里。
低空急流:600百帕以下出现的强而窄的气流带。
急流的种类:
- 副热带西风急流 :对流层高层 ,位置随𝐻𝐻𝐻𝐻𝐻𝐻𝐻𝐻𝐻𝐻𝐻𝐻环流变化,冬季位于20⁰-30⁰𝑁𝑁 ,夏季北移15 ⁰左右。
- 热带东风急流:夏季北移,在100 − 150ℎ𝑃𝑃𝑃𝑃处达急流标准,夏季最强,位于10⁰-15⁰𝑁𝑁 附近。
- 极锋急流:大约在300hPa附近,冬季较强,平均位于40⁰ – 60⁰𝑁𝑁;夏季较弱,平均位于北极圈附近。
急流两侧的涡度分布:
- 急流轴的左侧:𝜕𝑉/𝜕𝑛< 0,风速具有气旋性切变,正涡度
- 急流轴的右侧:𝜕𝑉/𝜕𝑛> 0,风速具有反气旋性切变,负涡度,其量级与 𝑓 差不多,10−4/s。
平直急流两侧的地转偏差:
内摩擦的侧向混合使急流轴两侧产生了与气压梯度方向相反的偏差风。(内摩擦力产生的)
从急流轴的两侧偏差风分布可以看出,
• 急流轴的左侧有偏差风辐合;
• 急流轴的右侧有偏差风辐散。

加速度原因造成的地转偏差:
重要:

Normal:

急流出口区和入口区:出口区风速减小,入口区风速增大
极锋急流中心上方,温度水平梯度与下方方向相反,地转风随高度减小,𝐕𝐦出现在对流层顶断裂附近,极锋锋区斜压性最强处的上空。
低空急流含义:𝟕00hPa或𝟖00hPa出现的多个测站以上的大于12m/s 的西南风。
东亚环流基本特征
季风:由于大陆与海洋温差的季节性变化造成气压场季节性变化,与气压场相联系的风场也发生根本变化,这种大规模的季节性转换称为季风。
高原的影响:
青藏高原地形对东亚天气和环流的影响:
- 南槽北脊:绕流分支在高原北部形成地形脊,南部形成地形槽;
- 背风槽:气流上、下山对高空槽脊的强度有影响。
- 冬季,南支急流强(高原冷源),孟加拉湾地形槽前的暖平流水汽输送是我国冬季的主要通道;
- 夏季,北支西风急流强(高原热源),高原对大气的摩擦作用,风速南小北大,反气旋切变,高原北侧形成反气旋小高压,并东移,其东侧的北风与副高脊上的南风形成切变线,影响夏季降水。
我国各季环流概况和主要天气过程的特点:
- 冬季:
• 西高东低的环流形势
• 切断低压和阻高
• 南支槽输送暖湿气流,形成华南昆明静止锋。 - 夏季:
• 急流北跳,西低东高,南支急流消失,与北支急流合并,在40°𝑁𝑁附近,东亚沿岸出现脊,80° − 90°𝐸出现槽,强度弱于冬季。
• 冷空气减弱北退,表现为冷槽或冷涡。
• 副高西伸北移
• 热带天气系统影响我国华南,ITCZ,东风波,台风等。
第五章
天气预报分类
根据预报时效分类:
0 − 3小时 临近预报
3 − 12小时 甚短期(短时)预报
12 − 72小时 短期预报
3 − 10天 中期预报
10 − 30天以上 延伸期预报
30天以上 长期预报
天气形势:是指大范围流场、气压场、温度场三度空间的分布形势。它包含了大范围的环流及环流形式的各个天气系统。
天气要素:是指晴、阴、雨、风力、风向、温度等要素。
用运动学方法预报气压系统的移动





气旋和反气旋中心的移动:小结:高低压系统移动的定性规则
• 正圆形低压(高压)中心沿变压梯度(升度)方向移动
• 椭圆形的高压(低压)中心移向界于长轴与变压升度(梯度)之间方向,长轴越长,越接近于长轴;
• 高低压系统移动速度与变压升度(梯度)成正比,与系统中心强度成反比。
平均层概念:固定点整层涡度变化平均等于某层等压面上该点的涡度变化 ,此层称为平均层。
高空形势预报方程:

左端项:正变涡,负变高(负变涡,正变高)
地转涡度平流:
- 长波西退

- 对东西向槽脊,槽脊西部加强,东部减弱。
相对涡度平流(自然坐标系):记住三项的名称






热成风涡度平流(温度场)自然坐标系

地面天气形势预报基本方程:






引导气流:地面系统中心的移动方向沿平均层上的地转风方向移动,因此称平均层气流为引导气流。
平均引导气流:
- 低压(高空槽前)向初始引导气流右侧移动;
- 高压(高空槽后)向初始时刻引导气流左侧移动;
地面图上,气旋暖区地面等压线与等厚度线接近平行,所以气旋中心又沿着暖区地面等压线移动。
摩擦造成的垂直运动:

摩擦作用发生在摩擦层中,越向上摩擦力越小,到自由大气等于零,低(高)压中心周围,风边逆(顺)时针旋转边向中心(外)辐合(散)。辐合(散)上升(下沉)随高度减小,气柱压缩(伸长),必伴有水平辐散(合)。同时在地转偏向力作用下,反气旋(气旋)涡度生成,使原来低(高)压的气旋(反气旋)性涡度减小,低(高)压减弱 。

摩擦对地面气压的影响:
对于气旋来说,涡度大于0,所以该项的作用是使得涡度减小,系统强度减弱。
对于反气旋来说,涡度小于0,所以该项的作用是使得涡度增加,系统强度减弱。
青藏高原的作用
青藏高原的影响:动力和热力影响
• 动力:槽脊移速、槽脊的走向、地形槽脊的形成、西南涡等
• 热力:增强季风环流
方式:
1)上下坡
2)绕流
3)摩擦




锋的移动预报:用自己的话总结

1)外推法
• 顺时外延,结合地形
• 气压场流场稳定,地形平坦,外推效果好
• 气压场流场稳定,地形不平坦,要充分考虑地形
• 当气压场流场变化时,则取决于对气压场和流场的正确预报
2)变压法
• 锋前后变压差值越大,锋面移速越快。

3)引导气流法
• 地面锋线沿700hPa或500hPa等压面上的气流方向移动,移速与垂直锋面的风速成比例;
4)地面气压场对锋面移动的影响
• 冷锋前气压场变化不大,锋后冷高压越强,移动越快;
• 冷锋前为均压带或低压带,移动较快;
• 冷锋移近强暖高,暖高无减弱,则锋面移速减慢或准静止;
• 锋面气旋中心风速越大,近中心锋段移动越快;
• 地面椭圆形高压长轴上的冷锋段移动快。
5)地形对锋面移动的影响
• 大地形如山脉、高原可使锋面形状发生弯曲变形,移速减慢或形成锢囚;
形势预报总结:
- 五流:涡度平流、热成风涡度平流、冷平流、暖平流、引导气流
- 三变:变高、变压、变温
- 周:周边系统
- 史:历史资料
- 地:地形影响
- 推:外推










