第一章
1. 有限差分

主要思路:空间离散化(连续函数的导数形式离散格点的差分格式)

一阶差分方案
- 两点差分

- 三点、中央差分

- 两点差分
二阶差分方案
- 三点差分

- 三点差分
小节


2. 特殊的有限差分方案



3. 差分方程精确性问题


第二章
1. 观测资料
1. 常规观测资料
①大气资料
②海洋资料
2. 非常规观测资料
①卫星资料
②再分析资料
什么是再分析资料:再分析资料Reanalysis data,基于地基和空基观测资料,采用数值模式系统同化的大气数据资料;在空间分辨率和覆盖等方面远优于地面站点观测资料。
3. 观测资料误差问题
① 外界环境造成的误差:观测环境影响,城市化,…
② 目测项目的误差:观测人员习惯性误差,人员技术水平差异,…
③ 器测项目的误差:仪器生产工艺和要求,仪器和测量方法误差,…
④ 业务软件造成的误差:自动气象站系统的参数设置和计算方法错误所致
4. 资料处理
①记录错情判断
②补充缺测或漏传记录
③实测风矢量的分解和订正
④平滑和滤波
⑤尺度分离2. 客观分析
- 什么是客观分析?为什么要做客观分析?
诊断分析一般用网格点资料,常规气象资料不规则分布,需要把空间分布不均匀的站点资料以内插等方式插值到规则分布的网格点上。 - 怎么做?
- 水平方向插值
- 主观分析/主观内插法:手工分析各种气象要素场的等值线,然后按照网格点读取格点数(天气图分析)。
- 客观分析:是建立联系格点值与台站值的方程并通过计算机从数值上进行内插。所用的方程或函数可以不同。
- 客观分析有:有限元素法、多项式法、逐步订正法、最优插值法、曲面拟合等
- 垂直方向插值
气象资料在垂直方向上往往是不等距的,常常需要将资料垂直插值使其在垂直方向上成为等距分布。常用的垂直插值法有拉格朗日法和样条函数法。

- 平滑滤波和尺度分离
- 实际气象要素场包含着各种尺度的运动,包含“短波”噪音(中小尺度)及各种误差,须将其与大尺度背景分离开来,即尺度分离。平滑处理可以减弱或滤掉没有天气意义的噪音和某些波长(尺度)的量,而保留大尺度和中尺度运动。所谓平滑就是用某点周围若干点的值进行加权平均来代替该点的值。这里讨论一维三点平滑格式和二维九点平滑格式。
- 尺度分离
- 实际气象要素场是各种尺度的大气运动综合作用造成的,可以设计适当的滤波器需将他们分离出来。滤波器分为:低通滤波器(保留低频波)、高通滤波器(保留高频波)、带通滤波器(留某波段的波)。
- 水平方向插值
3. 温湿特征参量和水汽方程收支的计算

1. 温湿参量的计算
• 常用的湿度参量:露点Td、温度露点差T-Td、水汽压e、饱和水汽压es、绝对湿度a、比湿q、饱和比湿qs、混合比W、相对湿度RH、饱和差ed等。
• 常用的温湿参量:虚温tv、虚位温θv、抬升凝结高度LCL、抬升凝结温度TL、假相当位温θse、假相当温度Tse
- 露点Td/温度露点差T-Td
露点Td:空气在定压冷却过程中,发生凝结时的温度(不改变水汽含量和气压)。露点温度越高,水汽含量越多。
温度露点差T-Td:空气温度与露点温度的差值,探空报告中可得。温度露点差越小,空气越潮湿。 - 水汽压e、饱和水汽压es


- 饱和差ed

- 比湿q/饱和比湿qs


- 有效位数问题

- 混合比W

- 绝对湿度a

- 相对湿度RH

- 虚温tv
定义:在气压相等的条件下,具有和湿空气相等密度时干空气具有的温度。
为何要定义虚温?

- 几个绝热的概念

- 位温
位温就是把空气块干绝热膨胀或压缩到气压(p=1000 hPa)时的温度
为何要定义位温?
对于不同高度上气块的热状态,直接比较它们的温度是不行的,因为气压对热状态也有影响,只有将两气块沿干绝热过程修正到一个相同的气压后才能比较。
位温的应用
位温的守恒性:位温在干绝热过程中守恒,因而可以用来比较不同气压(高度)情况下气块的热力差异。
分析大气在干绝热状况下的垂直稳定度,位温随高度递减(上冷下暖),层结不稳定;位温随高度递增(上暖下冷),层结稳定。
注意:出现降水、或存在其他明显非绝热增温的情况,位温不再守恒。 - 虚位温
干空气具有湿空气的气压同时使干空气具有湿空气的密度时所对应的位温。 - 抬升凝结高度LCL
抬升凝结高度LCL:空气块受抬升而绝热降温时有可能出现凝结现象的最低高度。
抬升凝结温度TL:空气块在凝结高度上所具有的温度,或空气块在凝结高度上的露点温度 - 假相当位温θse
未饱和湿空气块按干绝热线上升,到达凝结高度后再沿湿绝热线上升,若水汽凝结物全部降落离开气块,再沿干绝热线下降到1000 hPa标准等压面时的气温(假相当位温θse);沿干绝热线下降到原来的气压值所对应的高度上所具有的温度(假相当温度Tse)
假相当位温是一个重要的温湿特征参数,其不但在大气的干绝热过程中是保守的,而且在湿绝热过程中也是保守的
4. 大尺度水汽及其收支计算
1. 大气可降水量
从地面垂直到大气顶的单位截面气柱中所含水汽总量全部凝结并降至地面可以产生的降水量称为可降水量。通常用在同面积容器中相等水量的深度表示,以cm或mm为单位。也被称为局地最大可能降水量
2. 水汽通量
单位时间内流经单位面积的水汽质量,通常所说的水汽输送是指水平水汽通量。
- 水平水汽通量


水汽通量只能了解水汽来源以及水汽输送。暴雨预报时,不仅要了解水汽的来源,还要看水汽在何处集中。表示水汽集中程度的物理量就是水汽通量散度,水汽通量散度的辐合中心是预报暴雨落区的一个很好的指标。 - 水汽通量散度
水汽通量散度指单位时间、单位体积(底面积1 cm2,高1 hPa)内水汽的水平净流入或净流出量,


- 整层水汽通量散度


- 降水率

- 水汽收支平衡

- 总降水量
在某个时段内单位面积上的降水率即总降水量:
5. 运动学特征参量
• 天气学诊断中的另一个重要内容是借助高度场或风场等方面的原始资料,求取各种运动学特征参量,以此来揭露或说明某些天气过程中伴随的动力学实质。
• 本章主要介绍这些特征参量的物理意义、球坐标系表达式、计算方法。
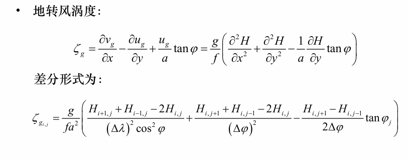
• 本章介绍的运动学特征参量包括:风场分解、地转风、地转风涡度、相对涡度、水平散度等运动学特征参量的物理意义、表达式、计算方法和技巧。
1. 实测风的分解

- 地转风的计算
- 什么是地转风?
自由大气中空气做水平等速直线运动,只有水平气压梯度力和地转偏向力起作用。
地转风是自由大气中水平气压梯度力和地转偏向力相平衡时的空气的水平运动。
空气运动平行于等压线,北半球背风而立,高压在右,低压在左

- 直角坐标系中相对涡度的计算



球坐标系中相对涡度的计算

- 什么是地转风?
6. 运动学方法计算垂直速度
• 垂直运动对天气演变具有重要作用,尤其是对流和降水过程与垂直运动紧密联系。
• 垂直速度是非观测量,是间接计算得到。
• 目前计算垂直速度的方法大致有:绝热法;求解ω方程;运动学方法;降水量反算垂直速度。
绝热法



7. Q矢量、位涡、螺旋度
- Q矢量、位涡、螺旋度


- 位涡


- 等熵位涡思想及其应用




- 螺旋度
螺旋度是表征流体边旋转边沿旋转方向运动的物理量












































